画像コレクションのアイデア

Unit2x Unit Converter Apps En Google Play

1 Sistemas De Unidades Y Factor De Conversion Antes

Https Idus Us Es Xmlui Bitstream Handle 11441 24290 D T Prov39 Pdf Sequence 1

9 Liens Et Documentaire Par Mark Mark Fichier Pdf

An Lisis Estructural 8va Edici N R C Hibbeler

Perry S Chemical Engeneers Handbook Parte 2 Conversion Factors And Mathematical Docsity

Portafpolio Estadistica

1 Sistemas De Unidades Y Factor De Conversion Antes

Coverting Km Hr S To M S 2 Youtube

Https Library Wmo Int Doc Num Php Explnum Id 3444

Convertir De M S A Km H Youtube

Portafpolio Estadistica

Https Iesvillalbahervastecnologia Files Wordpress Com 2012 09 Tema 0 Magnitudes Y Unidades1 Pdf

Very Short Answer Type Questions Tiwari Train Travels At A Speed Of 60 Km H For 0 52 H At 30 Km H For The Next 0 24 H And Then At 70 Km H For

Https Tel Archives Ouvertes Fr Tel 01069864 Document

Pdf Cmtde 1 Synthesis Of Znapso 34 Membrane For Se Water Desalination Yosra Bahri Academia Edu

Hydrogen On Demand Conversion Kit Turn Any Car Youtube 2020 2019

Https Www Osti Gov Etdeweb Servlets Purl 20219443

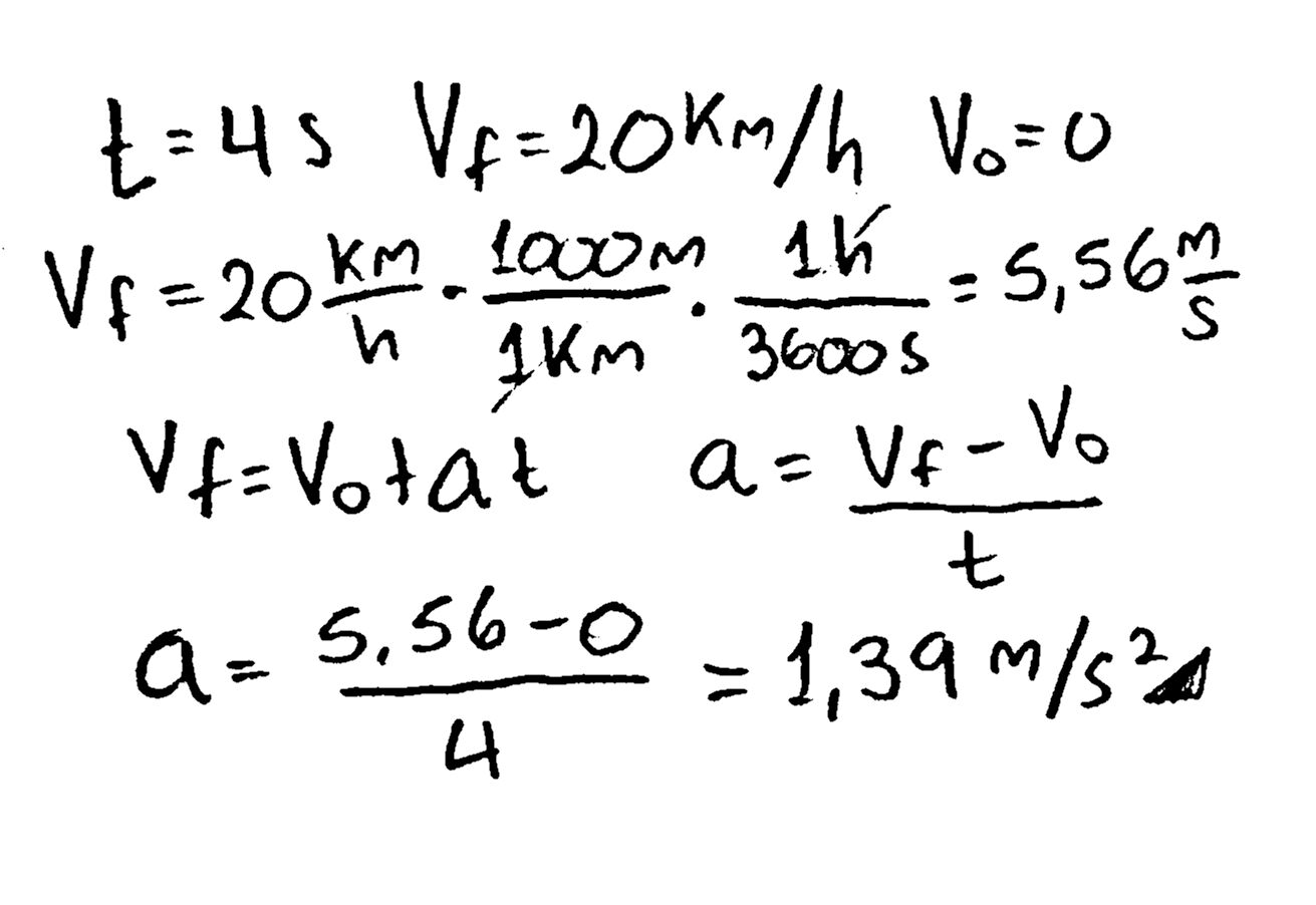
Aceleracion

Convertir De Ft S A Km H Youtube

Flow Units Converter

Convertir 9 81m S2 A Km H2 Brainly Lat

Como Convertir 50 Km H2 A M S2 De Forma Rapida Y Sencilla Brainly Lat

Model Parameters Determined From Experiments And Model Calibration Download Table

Cambio De Unidades

Hydrau Geotech Focusproblems2 2019 Pressure Liquids

La Velocidad De Un M U00f3vil Resulta De Dividir El Desplazamiento Efectuado Por El Course Hero

Unit2x Unit Converter Apps En Google Play

Ciencias Naturales Icc Y Bto 2020 Grado 9 Posts Facebook

Pdf Fractional Pd Controllers Design For Lti Systems With Time Delay A Geometric Approach

Comprehensive Review Of Methane Conversion In Solid Oxide Fuel Cells Prospects For Efficient Electricity Generation From Natural Gas Sciencedirect

Convertir De M S A Km H Youtube

2

204 Cientifico Tecnologico 3 Soluciones Pdf 1q7jw5g7j5qv

M Cm Mm To Yard Feet Inch Converter Tool Apps On Google Play

2

Sapiencia Ejercicios De Movimiento Uniformemente Variado

Unit2x Unit Converter Apps En Google Play

Converting M S To Km H Easy Youtube

How To Convert Km Hr To M S Youtube

Http Www Tese Edu Mx Documentos2004 2903 Cogtbtg Pdf

2

Birefringent And Diffractive Devices For Implementing Multi Gbit S Transmission Systems Using Visible Wdm Over Si Pof Technology Pdf Free Download

Diseno De Moduladores Conversor Analogico A Digital Filtro Electronico

Aceleracion

H2khans H2 Sardar Asghar A Khan Like You Facebook

Conversion De M S A Km H Metodo Facil Youtube

Wark Solucionario By Carla Issuu

Speed Conversion Calculator

Https Iesvillalbahervastecnologia Files Wordpress Com 2012 09 Tema 0 Magnitudes Y Unidades1 Pdf

H2khans H2 Sardar Asghar A Khan Like You Facebook

Convertir 32 Pie S2 A Km H2 Brainly Lat

Necesito Hacer Esta Conversion 464 M S2 A Km H2 El 2 Es Al Cuadrado Brainly Lat

Convertir De M S A Km H Youtube

Pressure

Calameo Ejercicios Resueltos Y Propuestos De M R U A Y M R U R

Fisica Ii Conversion De Km Min A M S Y Km H2 A Ms2

Page 3 O 319 High Resolution Stock Photography And Images Alamy

Pdf Use Of Analytic Network Process In Selecting Knowledge Management Strategies

2

Termodinamica Yunes Cengel Y Michael Boles Septima Edicion Termodinamica Docsity

Como Convertir De Km H A M S Y Al Reves Matemovil

Model Parameters Determined From Experiments And Model Calibration Download Table

A Dictionary Of Units Of Measurement International System Of Units Kilogram

Https Onlinelibrary Wiley Com Doi Pdf 10 1002 9781119230793 App1

Perry S Chemical Engeneers Handbook Parte 2 Conversion Factors And Mathematical Docsity

Convertir Ft S2 A M S2 Youtube

Https Onlinelibrary Wiley Com Doi Pdf 10 1002 9780470970751 App1

Pressure Units Online Converter

2

Como Convertir De Km H A M S Y Al Reves Matemovil

Bioprocess Engineering Principles By Mauricio Issuu

Statu Quo Sur La Methanation Du Dioxyde De Carbone Une Revue De La Litterature Sciencedirect

Hydrogen A And Co 2 B Production By The Ppb Biological Activity Download Scientific Diagram

Pdf Metabolism Of The Coastal Ocean From The Local Scale Scheldt Estuary Randers Fjord And Palma Bay To The European Scale

Km Hr To M S Formula Youtube

Math Handbook Math Handbook

Performance Of Ppb Culture During A Weekly Operating Cycle A Bchl Download Scientific Diagram

Portafpolio Estadistica

Pittsburgh Post Gazette From Pittsburgh Pennsylvania On May 8 1958 Page 37

Https Onlinelibrary Wiley Com Doi Pdf 10 1002 9781118848944 App8

284989 Publications And Pdfs In Conversion Science Topic

Fisica Ii Conversion De Km Min A M S Y Km H2 A Ms2

Bezier Curves Form V2 Par Alexandre Christophe Glon Fichier Pdf

Lista De Precios Datalogic 2013 By Andres Garcia Issuu

Http Www Fao Org Docrep 016 Ap453t Ap453t00 Pdf

Cummins Diesel Cepal Repositorio Manualzz

Como Convertir 0 4 M S2 En Km H2 Brainly Lat

Http Www Iaea Org Inis Collection Nclcollectionstore Public 25 001 25001573 Pdf

Conversion De M S A Km H Metodo Facil Youtube

Portafpolio Estadistica

204 Cientifico Tecnologico 3 Soluciones Pdf 1q7jw5g7j5qv

Comprehensive Review Of Methane Conversion In Solid Oxide Fuel Cells Prospects For Efficient Electricity Generation From Natural Gas Sciencedirect

2

Como Convertir 944 Km H2 A M S2 El Metodo Mas Corto Porfavor Y Rapido Brainly Lat

Iridium Spark Plugs Denso

Https Cds Cern Ch Record 1501100 Files 978 3 642 23026 4 Bookbackmatter Pdf

Earth Satellites And Their Applications In Hydrometry And Hydrology Unesco Digital Library

Note On The Standardization Of Pressure Reduction E Library Wmo

Https Www Theses Fr 2014isam0018 Pdf